• Formula : AgB(CN)4
  • Space Group : P-43m (215)
    Centrosymmetric : False
    Dimensionality : 3D
  • Structure parameters
    a = 5.732
    b = 5.732
    c = 5.732
    α = 90.0
    β = 90.0
    γ = 90.0
  • Number of atoms per primitive cell = 10
    Total number of electrons per primitive cell = 50
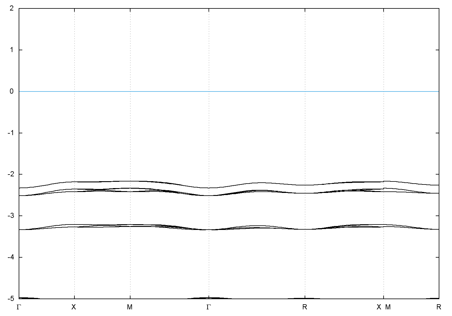
  • Band gap = 4.2688 eV
    Direct Gap = 4.338 eV
    Metallicity = 0.000
    Topological Z2 indices ν = (0;000)
  • scf.in - scf.out - bands.in - bands.out
  • Reference: ICSD Collection Code: 411179

Band structure with spin-orbit coupling