Home
You must have javascript enabled to display the crystal structure and Brillouin zone
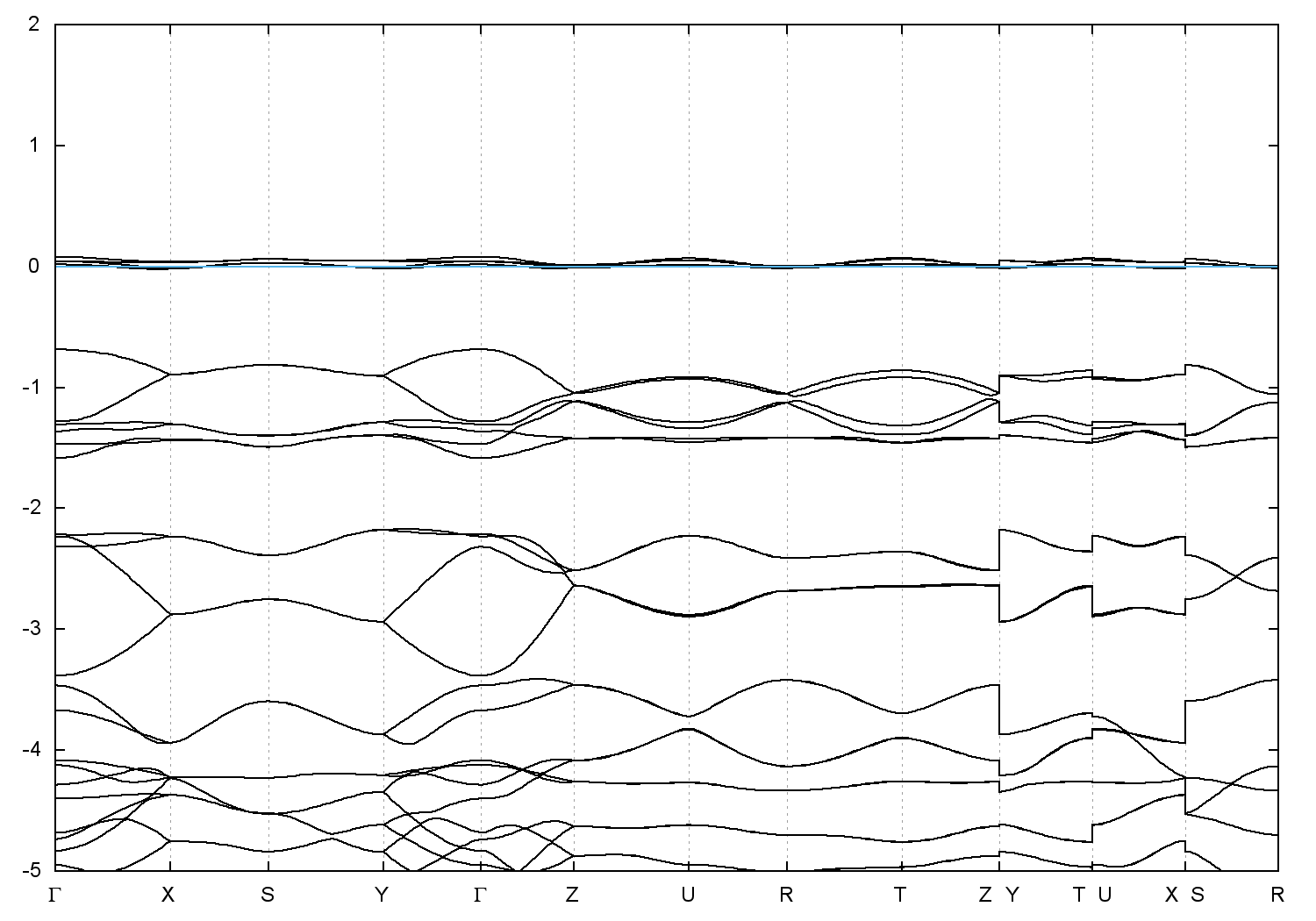
Formula : Co(C
2
N
3
)
2
Space Group :
Pnnm (58)
Centrosymmetric : True
Dimensionality : 3D
Structure parameters
a = 7.0433
b = 5.9748
c = 7.4039
α = 90.0
β = 90.0
γ = 90.0
Number of atoms per primitive cell = 22
Total number of electrons per primitive cell = 126
Band gap = 0.0 eV
Direct Gap = 0.000 eV
Metallicity = 0.867
Topological Z2 indices ν = (0;000)
cif file
-
scf.in
-
scf.out
-
bands.in
-
bands.out
Reference:
Band structure with spin-orbit coupling