• Formula : PdCl2
  • Space Group : P2/m (10)
    Centrosymmetric : True
    Dimensionality : 1D
  • Structure parameters
    a = 4.0117
    b = 11.7815
    c = 3.2878
    α = 90.0
    β = 90.0
    γ = 97.0263
  • Number of atoms per primitive cell = 6
    Total number of electrons per primitive cell = 64
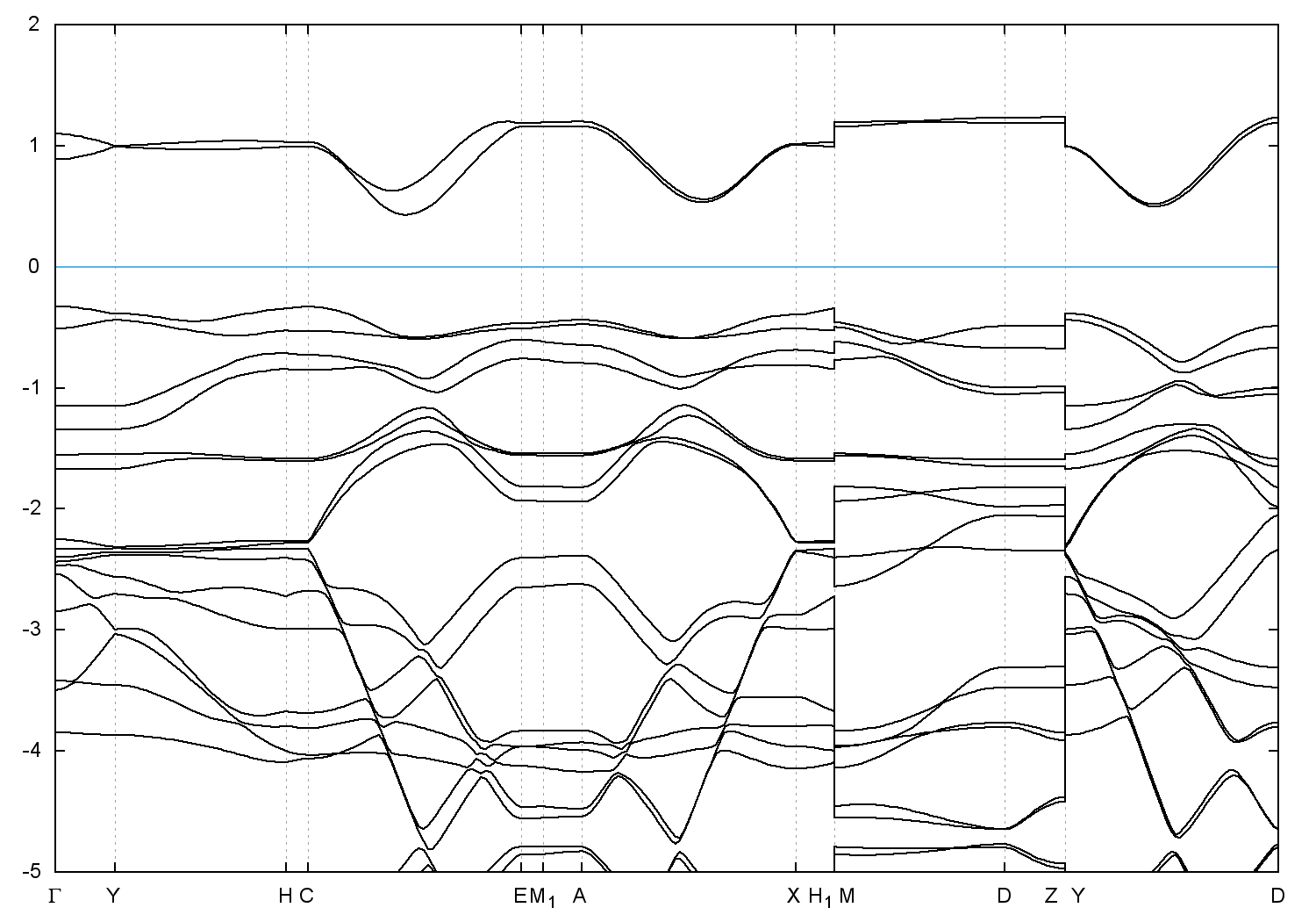
  • Band gap = 0.7541 eV
    Direct Gap = 1.005 eV
    Metallicity = 0.000
    Topological Z2 indices ν = (0;000)
  • scf.in - scf.out - bands.in - bands.out
  • Reference: ICSD Collection Code: 421220

Band structure with spin-orbit coupling