Home
Formula : Ba
2
BrN
Space Group :
R-3m (166)
Centrosymmetric : True
Dimensionality : 1D
Structure parameters
a = 4.1534
b = 4.1534
c = 23.348
α = 90.0
β = 90.0
γ = 120.0
Number of atoms per primitive cell = 4
Total number of electrons per primitive cell = 32
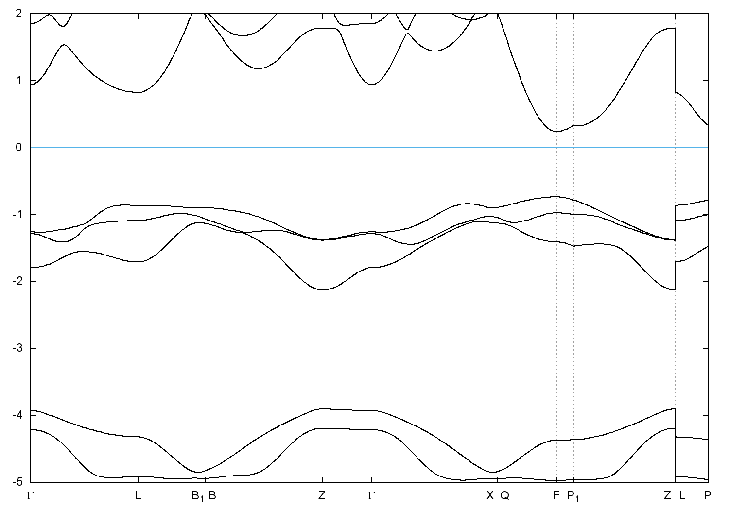
Band gap = 0.9748 eV
Direct Gap = 0.975 eV
Metallicity = 0.000
Topological Z2 indices ν = (0;000)
scf.in
-
scf.out
-
bands.in
-
bands.out
Reference:
ICSD Collection Code: 262056
Band structure with spin-orbit coupling