• Formula : GeTe
  • Space Group : R3m (160)
    Centrosymmetric : False
    Dimensionality : 3D
  • Structure parameters
    a = 4.281
    b = 4.281
    c = 4.281
    α = 58.358
    β = 58.358
    γ = 58.358
  • Number of atoms per primitive cell = 2
    Total number of electrons per primitive cell = 10
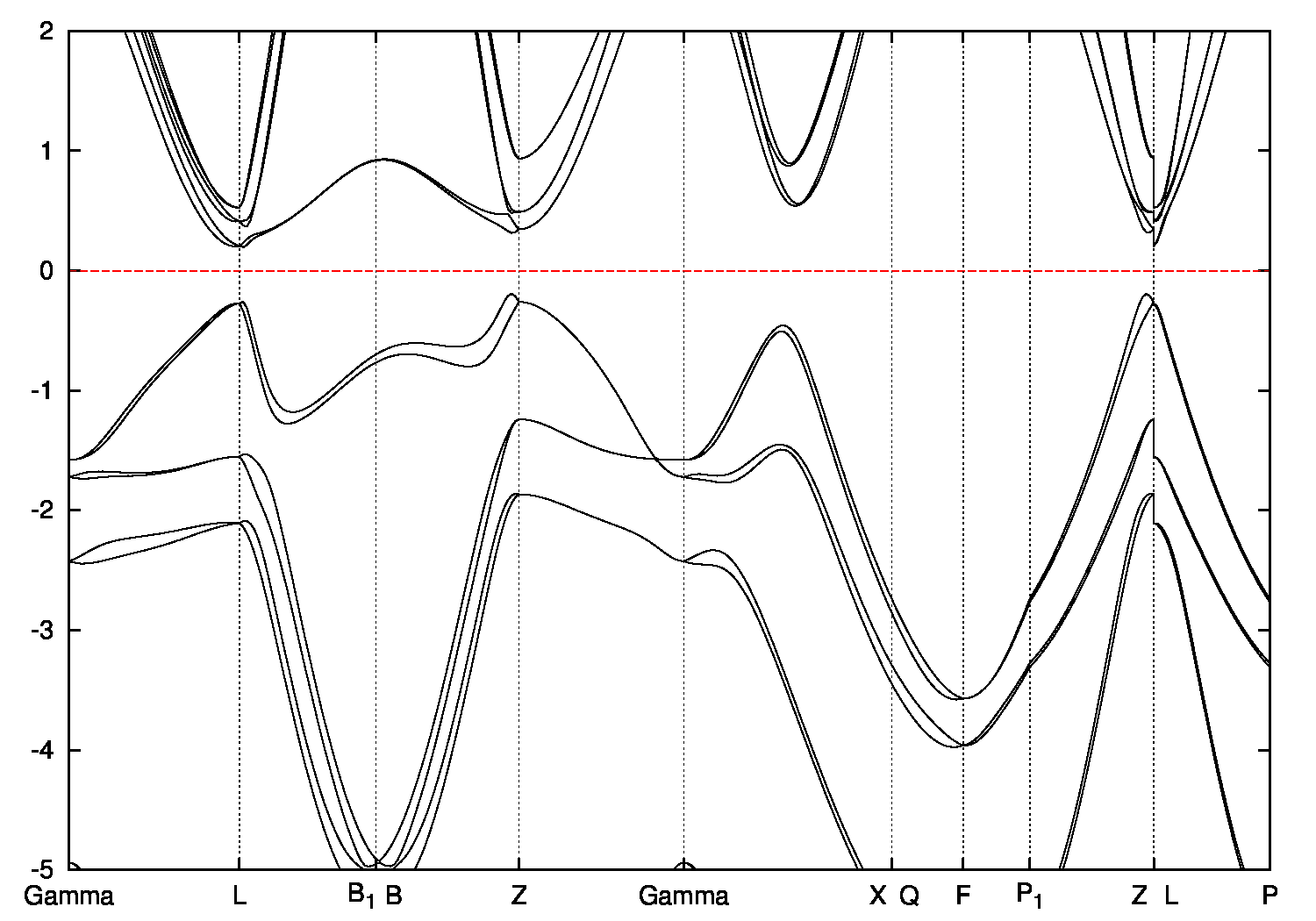
  • Band gap = 0.3876 eV
    Direct Gap = 0.455 eV
    Metallicity = 0.000
    Topological Z2 indices ν = (0;000)
  • scf.in - scf.out - bands.in - bands.out
  • Reference: ICSD Collection Code: 159907

Band structure with spin-orbit coupling


Wannier charge center (WCC) at six time-reversal invariant planes